中國粉體網訊 日前,基于鈦酸鋰的功率型動力鋰電池因其快充特性好,特別是董明珠攜手王健林投資了鈦酸鋰電池以后,得到眾多資本關注。但是鈦酸鋰電池的能量密度偏低,無法滿足我國新能源汽車發展需要,鈦酸鋰電池的工業化應用目前仍面臨一系列挑戰。最近,上海交通大學馬紫峰教授與其博士后袁濤等人對鈦酸鋰電池在鋰離子電池工業應用中存在的問題進行全面綜述,以“Challenges of Spinel Li4Ti5O12 for Lithium-Ion Battery Industrial Applications”為題,發表在Advanced Energy Materials上。
鈦酸鋰電池存在的主要挑戰主要包括,如何提高鈦酸鋰的電子電導率及其快速充電響應、如何進一步提高鈦酸鋰電極的理論容量、如何解決鈦酸鋰界面化學引發的脹氣問題,以及如何優化設計全電池以實現鈦酸鋰的優勢等。作者綜述了近三年鈦酸鋰負極材料的相關文獻,針對上述應用的挑戰提出了性能優化策略、反應界面的穩定性和全電池設計的觀點和建議,為今后鈦酸鋰電池的研究和工業發展指出了方向。
在鈦酸鋰電極的性能優化策略中,從碳修飾、形貌控制、元素摻雜、雜質相復合、電池過放(放電電位接近0V)這五個方面進行闡述。對于碳修飾改性,分析了無機碳源和有機碳源對鈦酸鋰改性的不同影響(圖1),雖然無機碳源通常具有較高的電子電導率,但是需要先進的碳源(碳納米管或石墨烯等)以及合適的制備方法保證其與鈦酸鋰分散均勻,否則不僅不能有效提高鈦酸鋰的高倍率性能,還可能造成電極表面電流分布不均衡,而產生更嚴重的安全問題。有機碳源雖然能夠更加均勻地包覆在鈦酸鋰顆粒表面,但是仍需要對其裂解后得到的碳電導率及其成本價格進行合理選擇。對于形貌控制,納米級的鈦酸鋰材料無疑表現出更好的倍率性能,但是考慮到工業化高振實密度的要求,認為一次粒徑納米級、二次粒徑微米級的多層級近球形結構是最佳形貌。合理的元素摻雜和雜質相復合可以改變Li原子在晶格中的位置以及Ti元素的價態進而提高鈦酸鋰的倍率性能。有一些摻雜還可以提高鈦酸鋰的理論容量,例如較大半徑的離子(Na+、K+、Gd3+、Zr4+、Ta5+、V5+等)摻雜在Li位和Ti位,可以通過擴大晶胞系數而容納更多的Li。另外,把鈦酸鋰的放電截止電位從1V下降到0V,也可以使其理論容量從175mAh/g增加到250mAh/g,但是會犧牲鈦酸鋰優良的循環性能。作者在文中舉例并提出,多種優化策略的協同作用能夠更好的提高鈦酸鋰電池的理論容量和倍率性能。

圖1 無機碳源和有機碳源制備碳包覆鈦酸鋰復合材料對比示意圖
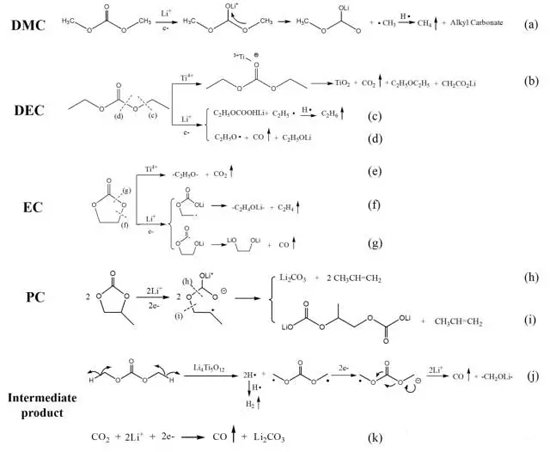
事實上,限制鈦酸鋰電池工業化應用最主要的問題是鈦酸鋰電池在充放電過程甚至存儲過程中,產生大量氣體(如CO2、H2、CO等),從而引發電池鼓脹的問題。作者詳細總結并分析了鈦酸鋰電極與各種電解質成分(DMC、DEC、EC、PC等)的界面反應和每一種氣體產生的原因(圖2),同時提出了脹氣問題的解決方案。鈦酸鋰表面均勻的包覆層、電解質中添加高電位的成膜添加劑等都是隔絕鈦酸鋰與電解液直接接觸的有效手段。另外,電極中的水分是脹氣的引發劑,有效控制電池中水分含量也是鈦酸鋰電池工業操作中特別需要注意的。
a) PCO的合成示意圖;b) PCO的XRD圖譜;c) PCO的SEM表征;d-e) PCO納米片的AFM表征。

圖2 鈦酸鋰電池中各種電解質溶劑的分解機理。
鈦酸鋰負極材料具有較高的放電平臺電位(1.55V左右)和相當長的循環壽命,這就需要有合適的正極材料和電解質材料與其進行匹配,進而充分發揮鈦酸鋰電池的優勢。本文總結了各種正極和電解質與鈦酸鋰電池匹配的電化學性能。磷酸鐵鋰正極具有與鈦酸鋰相匹配的理論容量、良好的熱穩定性、穩定的電位平臺,但是通常二者組成的全電池電位較低(僅為1.9V),限制了其能量密度。高電位正極(如5 V的Li2Co0.4Fe0.4Mn3.2O8、5.2 V的Li2Co0.4Fe0.4Mn3.2O8等)可以與鈦酸鋰負極組成超過3.5V電位差的全電池,也是不錯的選擇。另外,新穎的電池結構設計對于提高全電池的能量密度效果更佳明顯。作者對各種輕薄的鈦酸鋰全電極設計(自支撐的納米管陣列、可折疊的薄膜電池、3D打印的微型電池等)進行了對比和總結,給出了未來提高鈦酸鋰全電池能量密度的可行性。
















