中國粉體網訊 二維碳石墨炔(GD)是由1,3-二炔鍵將苯環共軛連接形成的具有二維平面網絡的全碳超大結構,具有豐富的碳化學鍵,大的共軛體系、寬面間距、優良的化學穩定性和半導體性能,已經廣泛應用于生物、能源、催化、信息技術、儲能等各個領域,是第一個具有我國自主知識產權的碳材料。石墨炔具有天然的帶隙,是一類本征半導體,具有高電荷傳輸能力。由于其特殊的電子結構及類似硅的優異半導體性能,使其在能源的多個領域和太陽能電池中獲得重要應用。
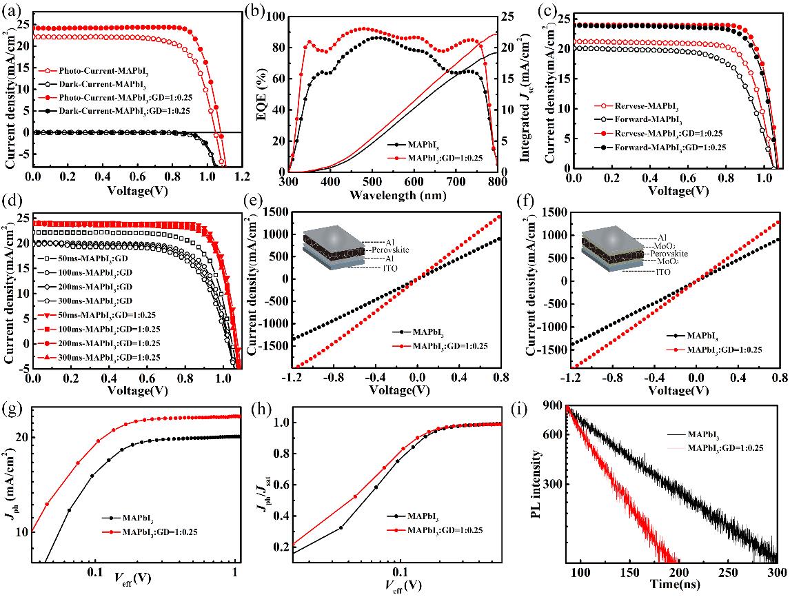
全球對可再生能源的巨大需求促進了鈣鈦礦太陽能電池研究的蓬勃發展。目前,鈣鈦礦太陽能電池常見的遲滯效應與穩定性問題嚴重阻礙了其實現產業化大規模應用。如何制備出一種性能優異且穩定性好的電池器件是亟需解決的難題。在中國科學院院士李玉良的指導下,中科院青島生物能源與過程研究所酒同鋼團隊首次將石墨炔作為電池活性層的主體材料,當石墨炔活性材料含量為25%時,制備的鈣鈦礦太陽能電池效率最高可達21.01%。研究發現,當石墨炔作為主體材料時,石墨炔豐富的π電子與鈣鈦礦前體溶液中的鉛有明顯的配位作用,從而延緩了鈣鈦礦的結晶速度,實現大晶粒尺寸、較少晶界、高結晶度的完美結合。在實現光電性能提高的同時,遲滯效應和穩定性也得到了極大改善。
隨后,研究人員從瞬態熒光、激子產生率、導電性等方面探究了器件性能提升的原因,結果表明石墨炔的引入不僅有效減少了晶界,抑制了電荷在晶界處的復合,同時有效提高了電荷的傳輸,這些效果均有利于器件填充因子和短路電流密度的提高,進而提高了器件性能。同時由于鈣鈦礦薄膜質量的提高、缺陷態密度的減少,使得器件的遲滯效應和穩定性也得到極大改善。
該研究表明這是第一次發現碳材料可以作為主體材料用于太陽能電池,石墨炔作為鈣鈦礦主體材料對提高鈣鈦礦太陽能電池器件性能還有巨大潛力,也為鈣鈦礦電池器件研究工作提供了全新思路。相關研究成果在Nano Letters (2018, 18, 6941-6947)上發表。
研究獲國家自然科學基金、山東省自然科學基金重大基礎研究項目、中科院青促會項目的支持。



圖:石墨炔作為主體材料所制備的鈣鈦礦器件結構及光電性能
(中國粉體網編輯整理/墨玉)
















