中國粉體網訊 由于碳酸鈣為親水性無機化合物,表面含有大量的羥基結構,使得碳酸鈣與有機高聚物的親和性差,易形成聚集體,在高聚物內部分散不均勻,從而造成復合材料間界面缺陷,直接應用效果不好,并且隨著填充量的增加,這些缺點更加明顯,過量填充甚至使制品無法使用。因此,為了提高碳酸鈣的補強作用以及在復合材料中的分散性能,進而改進碳酸鈣填充復合材料的物理性能,有必要采用不同的改性方法對碳酸鈣粉體進行改性,拓寬碳酸鈣的應用領域,使其成為一種功能性補強填充改性材料。
碳酸鈣的改性途徑主要有兩個:一是改變粒度,·使礦物顆粒微細化或超微細化,改善其在樹脂中的分散性,并以微小的顆粒和大的比表面積獲得在塑料、橡膠等制品中的補強作用;二是改善微粉的表面性能,使其由親水性向親油性轉變,從而增大微粉與有機樹脂的相容性,改善制品的加工性能和物理機械性能。這種方法主要采用表面改性劑對碳酸鈣進行表面活化處理。以下介紹幾種主要的碳酸鈣表面改性劑。
無機物改性劑
無機電解質分散劑吸附在納米碳酸鈣表面,一方面可以通過提高表面電位絕對值產生較強的靜電排斥作用;另一方面可誘發很強的空間排斥效應。同時還能增強納米碳酸鈣表面對水的潤濕程度,從而防止它在水中的團聚。
常用的無機物主要有縮合磷酸、鋁酸鹽、無機鹽、酸堿、明礬、無機粒子等。納米碳酸鈣由于耐酸性較差,影響了它的使用范圍,可采用縮合磷酸對其進行表面改性,在其表面形成一層完整而致密的包覆層,利用包覆層的憎水作用和空間位阻效應阻止它和內層氫離子的接觸,這樣既能提高碳酸鈣的分散性和活化性,又可以改善其耐酸性,拓寬應用領域。
改性后產品的pH值為5.0~8.0(較表面處理前下降1.0~5.0),難溶于醋酸等弱酸中,耐酸性較好。此產品可用于塑料、橡膠、涂料、造紙、食品和牙膏等行業中。
脂肪酸及其鹽類改性劑
脂肪酸或硬脂酸鹽類改性劑是碳酸鈣填料的傳統改性劑,它價格低廉,且對碳酸鈣填料改性效果良好。這類改性劑主要是含有羥基、氨基或巰基的脂肪族、芳香族或含芳烷基的脂肪酸鹽。這種脂肪酸分子一端為長鏈烷基,與聚合物相容性好;另一端的RCOO-,能與碳酸鈣表面的鈣離子形成化學鍵,產生活性包覆層,防止碳酸鈣粒子團聚。目前普遍使用的脂肪酸為硬脂酸及其鹽。另外,木質素、樹脂酸及其鹽也可用來對碳酸鈣進行表面處理。
Jea等研究了經硬脂酸改性的碳酸鈣對聚丙烯流變性能的影響,結果顯示聚丙烯的拉伸強度和沖擊韌性大大提高。
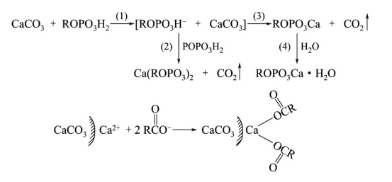
磷酸酯類改性劑
磷酸酯對碳酸鈣粉體進行表面改性主要是通過磷酸酯和碳酸鈣粉體表面的Ca2+反應形成磷酸鈣鹽沉積或包覆在碳酸鈣粒子表面,從而改變了碳酸鈣粉體的表面性能。用磷酸酯化合物作為碳酸鈣粉體的表面改性劑,不僅可以使復合材料的加工性能、機械性能顯著提高,對耐酸性和阻燃性的改善也有較好的效果。

磷酸酯類、硬脂酸與碳酸鈣反應示意圖
Yan等對PVC/新型磷酸酯改性納米碳酸鈣復合材料的微觀結構和物理性能進行了研究,結果表明改性納米碳酸鈣對PVC復合材料增韌效果明顯,物理性能提高。
偶聯劑類改性劑
偶聯劑是一種兩性結構物質,分子中的一部分具有親水性的極性基團可與粉體表面的各種官能團反應,形成強有力的化學鍵,另一部分具有疏水性非極性基團可與有機高分子發生化學反應或纏繞,從而可以將碳酸鈣粉體和高分子基體這兩種性質差異很大的材料通過界面層牢固地結合在一起。

碳酸鈣與偶聯劑反應示意圖
但是,用此方法存在如下問題:一是偶聯劑價格較高;二是不同的偶聯劑對不同的聚合物有一定程度的選擇性;三是在某些聚合物中使用時,偶聯劑容易引起變色,在貯存或在塑料混煉加工過程中,易發生水解或分解。
國內外用于碳酸鈣表面處理的偶聯劑有數十種之多。常用的有硅烷類偶聯劑、鈦酸酯偶聯劑、鋁酸酯偶聯劑、復合偶聯劑等。
(1)硅烷偶聯劑是開發最早、應用最廣的一類偶聯劑,對于一般的硅烷偶聯劑,因羥基數過少,和重質碳酸鈣表面難發生甚至不發生偶聯反應,只有當樹脂與硅烷偶聯劑有相似的基團才能起到改性作用。何毅等選用硅烷偶聯劑KH560對重質碳酸鈣的表面進行接枝改性,將改性后的重質碳酸鈣填充于環氧樹脂中,提高了環氧涂層的熱穩定性、相容性和耐腐蝕性。
(2)鈦酸酯偶聯劑是20世紀70年代后期由美國肯利奇石油化學公司開發的一種偶聯劑,根據分子結構類型不同,鈦酸酯偶聯劑主要分為單烷氧基型、單烷氧基焦磷酸酯型、配位型和螯合型。其中單烷氧基型適合于不含游離水、只含化學鍵合水或物理鍵合水的干燥填充劑體系,而其他三類鈦酸酯偶聯劑對體系含水量無要求。
利用鈦酸酯偶聯劑改性的重質碳酸鈣應用在橡膠行業中,可減少橡膠用量和防老劑用量,提高制品耐磨強度和抗老化能。將單烷氧基鈦酸酯偶聯劑改性重質碳酸鈣填充于涂料中,提高了重質碳酸鈣在涂料中的分散性;改善了加工流動性;提高了材料的熱穩定性和力學性能等。應用在造紙行業,可增強紙張強度,改善紙張印刷性能等。
雖然鈦酸酯偶聯劑的改性效果優異,但本身易氧化而變色;分解溫度較低;鈦酸酯分子的親有機端易發生醇解或水解;不利于人體健康和生態環境等,這些弊端極大限制了其應用領域的進一步發展。
(3)鋁酸酯偶聯劑:福建師范大學創制的鋁酸酯偶聯劑,對制品力學性能和加工性能方面的改善,可與鈦酸酯偶聯劑改性效果相媲美;與鈦酸酯偶聯劑相比,鋁酸酯偶聯劑具有色淺、無毒、常溫是固體、熱穩定性高、使用方便等優點,同時鋁酸酯偶聯劑本身有一定的潤滑增塑功效,所以對重質碳酸鈣表面改性,鋁酸酯偶聯劑改性效果優于硅烷偶聯劑和鈦酸酯偶聯劑。經鋁酸酯偶聯劑改性的重質碳酸鈣常用來填充聚丙烯、聚氯乙烯、硬聚氨酯彈性體等體系,在提高填充量的同時,所得制品仍然具有良好的物理和應用性能,極大降低了成本。
(4)復合偶聯改性劑改性是以偶聯劑為基礎,與其他加工改性劑、表面處理劑、交聯劑相結合,對重質碳酸鈣的表面進行復合改性處理。對重質碳酸鈣進行改性處理同時選擇兩種或多種改性劑,發揮每種改性劑自身的優勢,使重質碳酸鈣的改性效果更加優良,更能滿足各種功能化、專業化的需求。
聚合物改性劑
采用聚合物對碳酸鈣進行表面改性,可以改進碳酸鈣在非水體系中的分散穩定性。一般認為,聚合物包覆碳酸鈣可分為兩類:一類是先把單體吸附在碳酸鈣粉體表面,然后引發其聚合,從而在其表面形成極薄的聚合物膜層。另一類是將聚合物溶解在適當溶劑中后加入碳酸鈣,當聚合物逐漸吸附在碳酸鈣表面上時排除溶劑形成包膜。這些聚合物可定向的吸附在碳酸鈣粉體的表面,使碳酸鈣粉體具有荷電特性,并在碳酸鈣表面形成物理、化學吸附層,可阻止碳酸鈣粒子團聚結塊,改善分散性,同時其含有較長的親油碳鏈,與樹脂的相容性好,相互作用強,偶聯作用較好。
聚合物PMMA改性納米碳酸鈣時,產物粒徑可達到納米級,同時有增強、增韌作用。用烷氧基苯乙烯-苯乙烯磺酸共聚物改性時,分散性也明顯提高。聚烯烴低聚物如聚乙烯蠟、無規聚丙烯等對納米碳酸鈣有較好的浸潤、粘合作用,將它們與納米碳酸鈣按一定比例混合,再加入表面活性劑,可制成新型母粒填料,在許多領域廣泛應用。
結語
碳酸鈣粉體表面處理為碳酸鈣的應用注入了新的活力。經過表面處理的碳酸鈣應用范圍廣泛,性能更加完善,因此碳酸鈣的表面處理是各國競相開發的一大熱點。有優異改性效果的低毒或無毒的新型表面改性劑的開發與制備是碳酸鈣工業的主要發展方向。
參考資料:
毛萃:碳酸鈣改性助劑的合成與應用研究
王千,譚必恩:重質碳酸鈣改性研究進展
刁潤麗,張曉麗:納米碳酸鈣的表面改性研究進展
注:圖片非商業用途,存在侵權告知刪除!

















