中國粉體網訊 燃料電池與傳統的發電裝置不同,它能直接將燃料的化學能轉化為電,不用熱動力循環做功,因而擺脫了卡諾循環的限制,具有更高的發電效率。
燃料電池的種類多,目前主要有堿性燃料電池(AFC)、質子交換膜燃料電池(PEMFC)和固體氧化物燃料電池(SOFC)等幾種類型。其中SOFC具有反應溫度高、催化劑不含貴金屬、燃料來源廣、能夠熱電聯供等優點,近年來其發展速度越來越快。
工作原理
SOFC由氧電極(陰極) 、燃料電極(陽極) 和夾在其之間的致密離子導體(固體電解質) 及連接陽極和陰極以收集電能的外部電路組成。

以碳氫化合物為燃料的SOFC工作示意
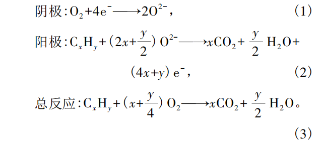
工作過程中,電極不直接參與反應,僅起催化劑作用,并提供離子和電子傳輸。如果使用碳氫化合物作為 SOFC 的燃料氣體,并假設燃料在工作過程中被完全氧化,則陰極和陽極會自發發生以下反應:

陰極與氧氣接觸,O2分子利用來自陽極的電子還原為陰離子( O2-) 。隨后,O2-離子穿過電解質并進入陽極,并氧化燃料產生水和二氧化碳,最后在陽極釋放電子。產生的電子穿過外部電路并返回到陰極。當燃料和氧化劑充足時,SOFC 可以繼續對外電路供電。
關鍵材料

SOFC典型結構
固體氧化物燃料電池由陽極、陰極、電解質、連接體及密封材料等部件組成。其中電極的主要功能是為電化學反應提供反應場所,并傳導電化學反應產生的(或需要的)電子;電解質的主要功能為傳導氧離子或質子;連接體的主要功能是將單電池連接,實現大功率輸出,并隔斷空氣與燃料直接反應;密封材料則是將燃料和空氣分隔密封在各自的流程區域內。
目前陽極主要采用Ni-YSZ多孔金屬陶瓷。
電解質多為氧離子傳導性良好、不透氣的固態氧化物電解質,主要用陶瓷材料,通常采用氧化釔穩定的氧化鋯(YSZ),也可以是摻雜的氧化鈰、氧化鈧穩定的氧化鋯、摻雜的鎵酸鑭等。
陰極催化劑一般采用鈣鈦礦氧化物與電解質材料構成復合陰極,如廣泛使用的LSM-YSG復合陰極,也可以是鈷酸鑭、鈷酸鍶釤等鈣鈦礦。
SOFC組件結構

管式SOFC(a)和平板式SOFC(b)
目前市場上廣泛使用的SOFC單元的組件設計形式大體分為兩類,即管式設計圖(a)和平板式設計圖(b)。管式設計由于其良好的密封性能而具有良好的長期穩定性,而平板式設計由于短的電流路徑而具有高的功率密度,這兩種設計方式各有優缺點,因此可根據不同的應用場景選擇SOFC的設計類型。
優勢
固體氧化物燃料電池與其它燃料電池相比,主要有以下優勢:
①SOFC是采用固體氧化物作為電解質,具有全固態結構,因而無腐蝕、無泄漏、安全性高,可以單體設計。
②SOFC工作溫度高(600~1000℃),在此溫度下,電極反應迅速,且不需要使用貴金屬如Pt等作為電極催化劑。
③發電效率高,不受卡諾循環限制,且燃料利用率高,高品質余熱可以繼續發電,也可以實現熱電聯供,能量利用率高達80%~90%。
④燃料適用范圍廣,由于工作溫度較高,可以直接使用諸如天然氣、液化石油氣、煤氣化氣等來自于化石能源的燃料,也可以使用乙醇、沼氣、生物質氣化氣等來自于生物質的燃料,還可以使用甲醇、氨氣等未來利用“綠氫”和CO2反應得到的可再生燃料。
應用場景
基于以上特性,SOFC具有廣闊的應用前景。具體的應用場景有以下幾個方面:
小型家庭熱電聯供系統
小型SOFC家庭熱電聯供系統能夠為家庭住宅提供電能和熱水,在節能減排以及電力的削峰填谷方面優勢明顯。這方面日本已經有了成功的先例,其家用熱電聯產產品“ENE Farm”自 2009年5月已經累計銷售超過11萬臺。
分布式發電
SOFC發電效率高、無噪音、無污染排放、功率范圍調整靈活,可以提供百kW到幾十MW功率的燃料電池系統,特別適合作為分布式發電或者數據中心的備用電源。Bloom Energy公司開發的產品目前已在蘋果、谷歌、易趣等眾多公司得到應用,在美國安裝超過130MW的SOFC燃料電池。
交通領域
SOFC作為車輛、輪船、無人機等工具的輔助或者動力電源也得到了推廣應用。2016年日產發布了世界首輛SOFC作為動力源的汽車,SOFC的燃料是生物乙醇,續航里程可超過600km。Bloom Energy公司與三星重工合作,計劃將產品應用于船舶電源,預計到2027年,將有超過100艘郵輪需要超過4GW的電池訂單。
大型發電站
CO2近零排放的大型煤氣化燃料電池發電技術(IGFC)是將整體煤氣化聯合循環發電(IGCC)與高溫固體氧化物燃料電池或MCFC相結合的發電系統,發電效率更高,CO2捕集成本低,是煤炭發電的根本性變革技術。三菱日立電力則致力于SOFC聯合循環大型發電系統研發,2018年實現商用250kW和1MW規格的聯合發電產品。
反向電解制氫
SOFC正向運行可發電,逆向運行可實現電解,即為固體氧化物電解池(SOEC)。SOEC可以通過電解水制氫,把與負荷不匹配而浪費的電能儲存到氫氣中,且電解效率高達85%~95%,遠高于其他電解技術。
參考來源:
1.張偉等《碳基固體氧化物燃料電池研究進展》
2.中國化工信息周刊《固體氧化物燃料電池,距離商業化差什么?》
3.上海海事大學TISC《科技前沿速遞——船用固體氧化物燃料電池》
(中國粉體網編輯整理/喬木)
注:圖片非商業用途,存在侵權告知刪除!
















