
麥克默瑞提克(上海)儀器有限公司
金牌會員
已認證

麥克默瑞提克(上海)儀器有限公司
金牌會員
已認證
ApplicationNote 146
H+Y型分子篩(SiO2/Al2O3:60/1)的酸性位表征:
AutoChem的脈沖化學吸附和TPD應用
前言

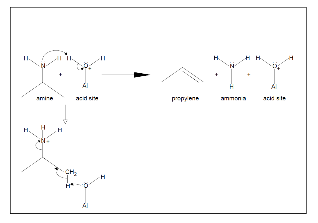
圖1.胺與酸位點反應,通過類似霍夫曼消除反應分解成丙烯和氨
實驗部分:
材料
本文中使用的分子篩為H+Y(SiO2/Al2O3:60/1)。分別以異丙胺(>99.5%GC)和丙胺(>99.0%GC)作為試劑。丙烯(>99%)也用于校正。
制備
Y型分子篩可以帶有不同的陽離子,包括NH4+和H+。這些陽離子可通過升溫轉變為H+。樣品首先在惰氣氣氛中以10℃/ min的速率加熱至500℃進行活化,然后降溫至分析溫度200℃。
分析
Y型分子篩活化后即進行脈沖化學吸附。在此步驟中,采用惰性氣體氦氣,通過流經一個5cm3的loop環向樣品中注入10次丙胺蒸汽,以確保樣品吸附飽和。分析的最后一步是程序升溫脫附(TPD)。在這一步中,質譜儀開始掃描檢測產物丙烯信號。數據是在200°C到500°C的程序升溫期間采集得到。
結果分析:
數據
為了獲得定量數據,質譜儀必須通過采用高精度注射器刺穿墊圈注入已知體積Vcal的待檢測氣體(丙烯)來進行校準。質譜儀信號的峰面積可以通過AutoChem峰值編輯軟件得到。為了增加校正精度,可以進行多次注射直至峰面積相似為止。然后可以對這些峰面積取平均值,以給出實際氣體體積與質譜儀峰面積之間的轉換系數Vcal/Acal,從而計算出分子篩的酸度。圖2為此過程的示例。

圖2. 面積-體積校準過程中質譜儀信號的示例

圖3.AutoChem的熱導率數據

圖4.質譜儀峰值結果
此外,圖3和圖4表明,熱導檢測方法可檢測到化學吸附中殘留的胺和氨,而質譜儀檢測則已區分出丙烯信號,從而可以計算酸位點的濃度。對圖4中丙烯信號積分后可得峰面積Apms,酸位點濃度Nas可通過下式進行計算:

以下是由圖4中數據得到的計算值,濃度值的單位為酸位微摩爾/每克分子篩。

相關產品
更多
相關文章
更多
技術文章
2025-09-25技術文章
2025-08-13技術文章
2025-08-06技術文章
2025-07-09