
麥克默瑞提克(上海)儀器有限公司
金牌會員
已認證

麥克默瑞提克(上海)儀器有限公司
金牌會員
已認證
多年來二氧化鈦因其色彩亮白、折光率高,在眾多行業中廣泛用作色素和乳濁劑。盡管使用廣泛,但由于極其強的粘性,處理粉體形式的二氧化鈦通常極具挑戰性。在操作中使用該材料時 (例如,從料斗散落,進料到單元操作中以及與其它粉體混合),通常需要采取特殊措施。
識別和量化工藝中與最優性能相關的粉體屬性,并用以優化新配方,從而避免花費高昂的成本使樣品經歷整個加工過程來評估適用性,大大節省時間和原材料,同時最小化了不合規范產品的浪費。

評價批次間差異
盡管三個批次的二氧化鈦都滿足現有的技術規格,在相同的過程中表現出了明顯不同的行為,導致最終產品的質量出現了不可接受的偏差。使用一系列傳統的表征技術對此進行分析,但未能區分出三個批次的差異,一部分的原因是測試結果的變量太多。
轉而使用FT4 粉體流變儀?分析各批次樣品,都可觀察到清晰、可重復的差異,對過程性能的差異給出合理的解釋,以便用戶未來能可靠地評估不同批次工藝相關的質量。
測試結果
動態測試:基本流動能
在三種材料中,樣品B產生的BFE最高,樣品C的最低。在該案例中,由于粉床更高效地排列,因此具有較高的BFE,意味著槳葉移動時,需要排開更多的粉體,可供顆粒進入的空間更少。這導致移動粉床需要更多的能量,表明在動態、強制流動的條件下 (例如,螺旋加料器中) 粉體可能發生問題。

整體測試:透氣性
在三種材料中,樣品B的壓降最低,樣品C的最高。高壓降表明氣流通過樣品時受到的阻力更大,即透氣性更差。樣品B的低壓降 (高透氣性) 通常是因為結構均勻,粉床有效地排列,通常與改善低應力環境下 (例如,填充操作) 重力流動有關。

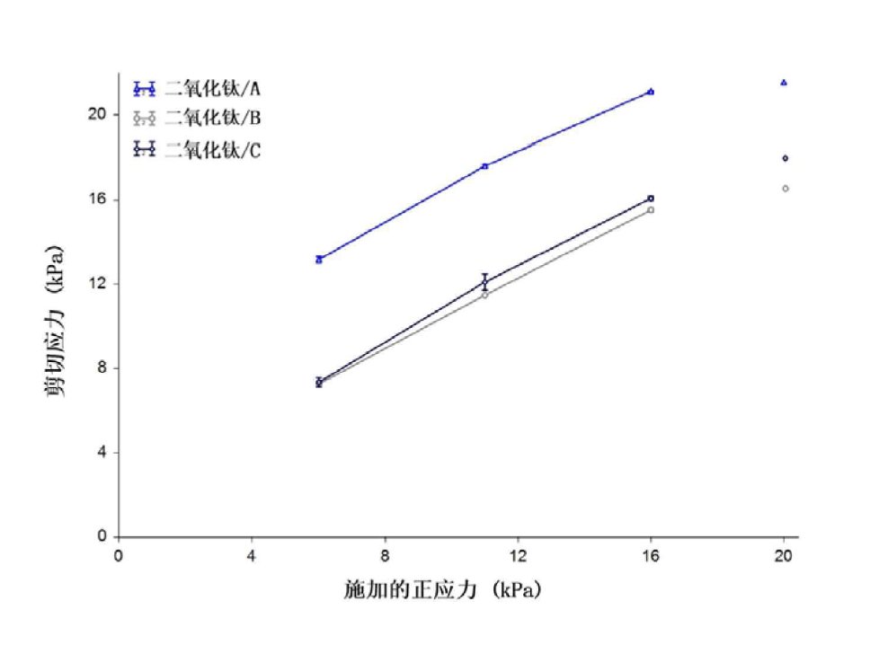
剪切測試:剪切池
在剪切池結果中觀察到了不同的趨勢,這是由于該測試方法所采用的不同應力和流動狀態所決定的。剪切池測試旨在代表操作中所經受的高應力、靜態條件,例如,料斗重力卸料。與其它兩個樣品相比,樣品A所產生的剪切應力值明顯較大,表明在存儲固結時更難以發生起始流動 (從靜態轉變為動態)。樣品B和C所產生的剪切應力值接近,說明兩者在這些條件下的表現差不多。

結論
FT4可清晰、重復地量化三種樣品的動態、松裝和剪切特性之間的差異。樣品B所產生的基本流動能和透氣性值最高,剪切應力值較低,可知與其它兩個樣品的表現截然不同。樣品A和C的結果說明,與樣品B相比,兩者在一系列過程中表現出更強的粘結行為:樣品C所產生的BFE和透氣性值最低,說明在低應力的過程 (例如,混合和填充) 中的粘性最強,樣品A產生的剪切應力值最高,說明在高應力操作 (例如,料斗卸料) 中最難以流動。
粉體流動性并非材料的固有屬性,而是粉體在特定設備件中以所需方式流動的能力。成功的加工過程需要粉體與工藝的完美匹配,相同的粉體在一個過程中性能良好,而在另一個過程中卻不佳的情況并不罕見。這表明,需要多元表征方法,得出的結果能夠與工藝評估相聯系,從而構建對應于可接受的工藝行為的參數設計空間。FT4多元方法模擬一系列單元操作,從而直接研究粉體對各種工藝和環境條件的響應,而不是依靠單一的特性表征來描述所有的過程行為。
關于麥克默瑞提克
Micromeritics 是提供表征顆粒、粉體和多孔材料的物理性能、化學活性和流動性的全球高性能設備生產商。我們能夠提供一系列行業前沿的技術,包括比重密度法、吸附、動態化學吸附、壓汞技術、粉末流變技術、催化劑活性檢測和粒徑測定。
公司在美國、英國和西班牙均設立了研發和生產基地,并在美洲、歐洲和亞洲設有直銷和服務業務。Micromeritics 的產品是全球具有創新力的知名企業、政府和學術機構旗下 10,000 多個實驗室的優選儀器。我們擁有世界級的科學家隊伍和響應迅速的支持團隊,他們能夠將 Micromeritics 技術應用于各種要求嚴苛的應用中,助力客戶取得成功。
相關產品
更多
相關文章
更多
技術文章
2025-09-25技術文章
2025-08-13技術文章
2025-08-06技術文章
2025-07-09