
大昌華嘉科學儀器部
白金會員
已認證

大昌華嘉科學儀器部
白金會員
已認證
荷蘭TE 半導體應用實例 | 電鍍液中總有機碳TOC含量的測定
DKSH 2025/08/20 | 閱讀:231
方案詳情:
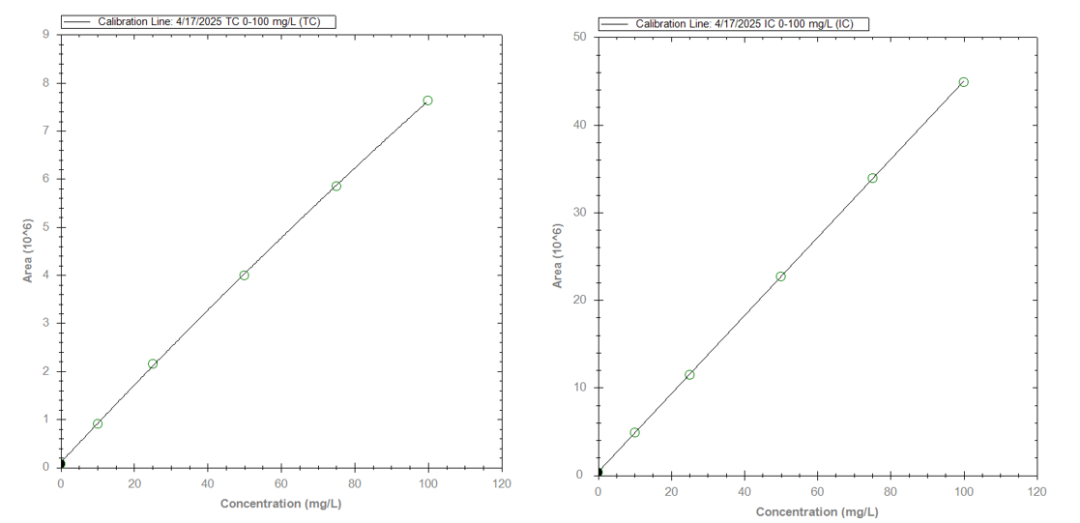
電鍍液中測試總有機碳TOC含量主要為了監控有機污染物殘留,確保工藝質量和產品性能。因為電鍍液中的有機污染物(如添加劑分解產物、金屬離子等)會導致鍍層質量下降,出現夾雜、偏脆等問題,直接影響金剛線切割效率和硅片質量。通過檢測TOC含量,可快速判斷有機物殘留是否超標,及時調整處理工藝。 電鍍液通常含有較高濃度的鹽類(如氯離子),這些成分在高溫氧化過程中可能腐蝕儀器部件(如燃燒管內壁附著鹽分),另外氯離子(Cl?)對氧化反應有抑制作用,會影響有機碳向二氧化碳的轉化效率,進而影響TOC檢測結果的準確性。 ? 荷蘭TE公司——Xpert TOC總有機碳分析儀的專利耐高鹽設計,可以在得到準備的測試結果的同時避免高鹽對系統的損害。 檢測要求 電鍍液中的TOC含量 樣品類型 電鍍液-來自于某客戶實際樣品,樣品中含有硫酸銅,鹽酸,硫酸等酸類。 檢測條件 儀器型號:荷蘭TE XPERT-TOC總有機碳分析儀 爐溫:720℃ 測試模式:TOC=TC-IC 進樣體積:100μL(TC) 500μL(IC) 氧氣流速:200mL/min 標準曲線:R2>0.999 (點擊查看大圖) 檢測結果 結論: 每個樣品測試3次重復,結果重現性良好,在高本底鹽度和酸度的電鍍液樣品即使濃度超過1000ppm的樣品也無需稀釋直接進樣,充分證實了荷蘭TE這款XPERT-TOC總有機碳分析儀的性能和可靠的質量。 ? XPERT-TOC/TNb ——集成了儀器堅固耐用性,分析準確性和操作便捷性于一體的最新一代總有機碳分析儀。 ? 高溫催化燃燒法的原理設計,一次進樣幾分鐘內既可得到總有機碳TOC及總化合氮TNb。 ? 采用TEIS分析控制軟件實現儀器的全自動化操作,符合所有目前現行的高溫燃燒法的所有官方標準和方法。 ? XPERT可以一次進樣得到TOC/TNb總有機碳及總化合氮結果,也可以分別得到單個的TOC總有機碳及TNb總化合氮結果。 ? 符合各種國際及國內標準,符合各種高溫催化燃燒測試標準,例如: ·HJ 501-2009,HJ 695-2014; ·ASTM D7573,ASTM D8083; ·EN-1484; ·EPA 415.1,EPA 9060; ·ISO 8245,ISO 11905-2; ·USP<643> 等各種國內國際標準。 相關產品 更多
相關方案 更多
界面現象對碳捕集與封存的影響
能源與環境
2025-09-11
含不同穩定劑的巧克力牛奶的穩定性
食品/飲料/煙草
2025-09-03
魯道夫折光法/密度計法測定人血白蛋白含量
生物技術
2025-09-03
高濃電池漿料Zeta電位的表征方法
化工原料
2025-09-03
|
虛擬號將在 秒后失效
使用微信掃碼撥號