中國粉體網訊 1938年BRUNAUER等基于Langmuir單層吸附模型提出一種多分子層吸附理論,并推出相應的吸附等溫式——BET方程。BET吸附等溫式適用于物理吸附,是測定固體表面積的理論依據。基于BET公式測定吸附量和計算固體化表面積的方法被稱為BET法。
BET法常用的吸附質為氮氣,對于很小的表面積也用氪氣。吸附裝置既可采用容量法,也可采用重量法。前者測定的是吸附達到平衡后未被吸附的殘留氣體的壓力和體積,其中又分為保持氣體體積一定而測定壓力變化的恒容法和保持氣體壓力一定而測定體積變化的恒壓法。BET法測定吸附量廣泛采用Emmett吸附儀,還可利用電子吸附天平等自動化儀器以及氣相色譜法等測定儀器。
BET法是測量比表面積的經典方法,可測比表面積的范圍為0.001-1000m2/g。當測量小比表面積時,一般選用低飽和蒸汽壓的吸附質,如氬氣、氪氣等(以提高測量精度)。采用氪吸附質時,可測比表面積下限達0.001m2/g。
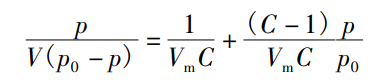
1、BET公式
BET公式為:

p為氮氣分壓,Pa;p0為吸附溫度下液氮的飽和蒸氣壓,Pa;Vm為樣品上形成單分子層需要的氣體量,mL;V為被吸附氣體的總體積,mL;C為與吸附有關的常數。
通常BET公式適用的相對壓力0.05-0.35之間,C值為3-1000。一般地,以氮氣為吸附質,在金屬、聚合物和有機物上,C值在2-50之間;在氧化物和二氧化硅上,C值在50-200;在活性炭和分子篩等強吸附劑上,C值大于200。
2、吸附等溫線的類型

一般Ⅰ型等溫線往往反映的是微孔吸附劑(分子篩、微孔活性炭)上的微孔填充現象,飽和吸附值等于微孔的填充體積。

Ⅱ型等溫線反映了非孔性或者大孔吸附劑上典型的物理吸附過程,這是BET公式最常說明的對象。

Ⅲ型等溫線十分少見。等溫線下凹,且沒有拐點。吸附氣體量隨組分分壓增加而上升。曲線下凹是因為吸附質分子間的相互作用比吸附質與吸附劑之間的強,第一層的吸附熱比吸附質的液化熱小,以致吸附初期吸附質較難于吸附,而隨吸附過程的進行,吸附出現自加速現象,吸附層數也不受限制。BET公式中C值小于2時,可以描述為Ⅲ型等溫線。

Ⅳ型等溫線與Ⅱ型等溫線類似,但曲線后一段再次凸起,且中間段可能出現吸附回滯環,其對應的是多孔吸附劑出現毛細凝聚體系。在中等的相對壓力,由于毛細凝聚的發生Ⅳ型等溫線較Ⅱ型等溫線上升得更快。

Ⅴ型等溫線與Ⅲ型等溫線類似,但達到飽和蒸氣壓時吸附層數有限,吸附量趨于極限值。同時由于毛細凝聚的發生,在中等的相對壓力等溫線上升較快,并伴有回滯環。

Ⅵ型等溫線是一種特殊類型的等溫線,反映的是無孔均勻固體表面多層吸附的結果(如潔凈的金屬或石墨表面)。實際固體表面大都是不均勻的,因此很難遇到這種情況。
3、BET數據處理及分析
做完BET表征測試后,找出材料的比表面積、孔容、孔徑,然后再做出材料質構性質的表格。其中微孔體積是通過Dubinin-Radushkevich法計算得到,介孔體積是通過BJH法計算而得。
總之,BET法測定材料的比表面積是一種很好的方法,在材料研究中有著廣泛應用,測試結果具有較高的可靠性。
針對各類負極材料的產業化技術與國內外市場狀況,中國粉體網將于9月20-21日在青島舉辦2022先進負極材料技術與產業高峰論壇,旨在為負極材料產業鏈上中下游企業搭建深度交流的平臺,開展產、學、研合作,助推負極材料行業持續健康發展。屆時,馬來西亞博特拉大學化學工程博士張曉天將作《如何正確使用BET方法分析負極材料比表面積》的報告。報告將針對BET方法分析負極材料比表面積的問題進行詳細介紹。

專家簡介:
張曉天,馬來西亞博特拉大學化學工程博士,新加坡南洋科學院研究顧問。長期從事無機材料研究工作,主要研究方向包括無機功能材料合成與應用、涉及水相中重金屬離子的吸附劑、超薄型水基隔熱防火涂料、超高溫氣溶膠冷卻固體顆粒和鋰電阻燃及抑燃材料研發等。發表SCI論文4篇,申請專利3項。
參考來源:
1、何云鵬等.BET比表面積法在材料研究中的應用
2、氣體吸附法(BET法).阿儀網
(中國粉體網編輯整理/文正)
注:圖片非商業用途,存在侵權告知刪除!
















