
上海奧法美嘉生物科技有限公司
鉆石會員
已認證

上海奧法美嘉生物科技有限公司
鉆石會員
已認證
本文隸屬于一體化解決方案系列,全文共 6593字,閱讀大約需要 22分鐘
引言:高壓均質機對于乳劑制備的作用
乳劑通常是由兩種互不相溶的液體,其中一種以微小液滴的形式分散在另一種液體中所形成的非均相分散體系,這些液滴通常直徑在0.1至100微米之間,由乳化劑穩定。因此乳劑通常是由水相、油相和乳化劑三部分組成,其中乳化劑起到關鍵作用,能夠降低界面張力,在分散相液滴周圍形成堅固的界面膜。乳劑在醫藥、化妝品、食品等領域應用十分廣泛。近期對于復雜注射劑-乳劑的研究非常活躍。
關鍵詞:乳劑,復雜注射劑,納米乳劑,高壓均質制備;
一、乳劑特性及應用
復雜注射劑中的乳劑是指通過特殊制備工藝形成的油/水或水/油型乳狀液,用于注射給藥。這類乳劑在藥物傳遞系統中具有重要作用,尤其在脂溶性藥物和生物大分子藥物的輸送中。其特點及應用如下:
特點:
1.藥物溶解與釋放控制
提高難溶性藥物的溶解性:脂溶性藥物或難溶性藥物可以通過分散在油相中來提高溶解度。緩釋作用:乳劑中的油相或水相可以控制藥物的釋放速率,實現長效緩釋。例如,水包油型乳劑(W/O)可以延緩水溶性藥物的釋放,油包水型乳劑(O/W)則適合緩釋脂溶性藥物。藥物保護:乳劑系統可以將不穩定的藥物包裹在分散相內,避免其在體內被快速降解或代謝。
2. 生物相容性
注射用乳劑必須具有良好的生物相容性,通常采用生物可降解的油類和表面活性劑,如大豆油、卵磷脂等,確保其在體內的代謝和排泄不會產生毒副作用。
3. 液滴粒徑及穩定性
粒徑大小:注射用乳劑的液滴粒徑通常在0.2至1微米之間,以確保注射過程的安全性和藥物的生物利用度。過大或過小的液滴都可能導致注射部位的不良反應或藥物分布異常。
乳劑穩定性:為了防止注射后油水相分離,注射用乳劑必須具有較高的物理和化學穩定性。這通常通過使用適當的乳化劑(如卵磷脂)以及優化乳化過程來實現。
4. 配伍性與安全性
注射用乳劑應與常用的溶媒、輔料以及注射設備具有良好的配伍性,以避免藥物與溶劑或容器材料發生不良反應,影響藥效或引起安全性問題。
5. 靶向遞送功能
復雜注射劑中的乳劑可以通過修飾液滴表面,或將特定的配體、抗體等結合到乳劑表面,實現藥物的靶向遞送。例如,可以設計帶有腫瘤靶向性標記的乳劑,用于癌癥治療中。
應用:
1.全身給藥
脂肪乳:作為全身營養輸液中常用的成分,用于給患者提供必需的脂肪酸和能量來源。 抗腫瘤藥物遞送:一些抗癌藥物如紫杉醇等由于其強疏水性,難以直接注射給藥,而乳劑作為載體可以將這些藥物溶解在油相中,安全有效地輸送到腫瘤部位。 疫苗遞送:某些疫苗也可以通過乳劑系統進行遞送,增強抗原的免疫反應,提高免疫效果。
2. 局部注射
局部麻醉藥物:乳劑可以用作局部麻醉劑的載體,通過緩釋機制延長藥效。 抗感染藥物:一些局部抗感染藥物如抗生素類藥物也可以通過乳劑來遞送,以實現局部組織高濃度藥物的持續釋放。
3. 長效制劑
緩釋注射劑:通過乳劑的設計,使藥物在體內緩慢釋放,達到長效治療的目的。例如用于治療慢性疾病的藥物可以制成長效乳劑注射劑,減少給藥頻次。
4. 靶向遞送
肝臟和淋巴系統靶向遞送:乳劑的粒徑可以影響其在體內的分布,如較大的粒徑更容易被肝臟、脾臟等器官的網狀內皮系統捕獲,從而實現藥物的靶向遞送,特別適用于治療肝臟和淋巴系統疾病。
5. 載藥蛋白或肽類藥物
乳劑可以保護脆弱的蛋白或肽類藥物,防止其在體內被快速降解,延長藥效。例如用于胰島素或生長激素等的遞送。
復雜注射劑中的乳劑系統因其獨特的結構和特性,在藥物遞送中具有不可替代的作用。它們能夠提高藥物的溶解性、控制藥物的釋放速度、實現靶向遞送,并具備良好的生物相容性和穩定性。這些特性使得乳劑成為治療多種復雜疾病、提高藥物療效的重要工具。

二、乳劑的制備與質量把控
在乳劑的制備過程中,難點很多,也不容忽視。首先,乳化劑的選擇需極為謹慎,不同類型的乳劑對乳化劑的親水親油平衡值(HLB值)要求各異,不合適的乳化劑難以形成穩定的乳劑體系。其次,在質量控制方面,乳劑有著嚴格的要求。穩定性和粒度控制是關鍵指標,需確保在儲存過程中不分層、不絮凝。液滴的粒徑分布要符合標準,過大或過小的液滴比例過多都會影響乳劑的性能。另外,藥物含量的均勻性也至關重要,藥物含量不均勻可能導致藥效不穩定甚至產生不良反應。這些質量控制要點,是乳劑能夠安全、有效應用的必要保障。
而在制備方法也有很多選擇,比如乳化聚合法、反應乳化法、復合乳劑制備、搖晃法、攪拌法、超聲波法、高壓均質法。其中高壓微射流均質法是指利用高壓使分散相顆粒在連續相中通過狹小的固定孔徑,通過空穴效應,高剪切力,高碰撞力,從而達到細化和穩定乳滴的效果。這種設備通常用于需要高穩定性的乳劑制備。
此外,制備工藝的參數控制也是一大挑戰,如攪拌速度、溫度等,任何一個環節的偏差都可能導致液滴大小不均或出現破乳現象。

三、案例分享
案例一:
顆粒大小和離子強度對分離乳清蛋白穩定乳狀液凍融穩定性的影響[1]
目的:研究分離乳清蛋白(whey protein isolate, WPI)穩定乳狀液的粒徑和離子強度對其凍融穩定性的影響。
實驗過程:
制備分離乳清蛋白儲備水分散液(4%,m/V),加疊氮化鈉(0.02%,m/V),室溫磁力攪拌2小時,4°C過夜水合。
高速均質機以20000轉/分鐘將分離乳清蛋白儲備液和大豆油(φ=40%)混合5分鐘得初乳。
高壓微射流均質機在60MPa下將初乳均質0、3、5或7次得不同粒徑乳液。
向分離乳清蛋白儲備液加不同量NaCl(終濃度10、30、50、70mmol/L),磁力攪拌2小時。
按上述兩步均質化過程(第二步均質5次)制備不同離子強度乳液。
等份的乳劑裝入密封的玻璃管(20mL)中,在-30°C下冷凍24小時。隨后,在25°C下解凍2小時,直至完全融化。重復三次凍融(FT)處理,并在每次FT處理后測量乳液的物理化學性質。
重力分離速率隨粒徑的減小而減小,因此在均質化過程中減小初始乳劑粒徑可以延緩乳劑的不穩定性。為了研究粒徑對乳劑FT穩定性的影響,制備了粒徑(d4,3)分別為8.92、1.28、0.83和0.65μm的初始乳劑,分別標記為EuA、EuB、EuC和EuD。
所有初始乳劑在冷凍前都沒有顯示出任何奶油化的跡象(圖表1A)。粒徑較大(8.92μm)的EuA在第一次FT處理后出現了嚴重的脫油現象。二次FT處理后,EuB內形成油浮子。在FT處理的第三個周期后,EuC和EuD才出現脫油現象。

圖表1A:不同均質工藝制備的乳劑在不同FT處理周期前后的視覺外觀
如圖表1B所示,隨著FT處理循環次數的增加,除EuA外,所有乳狀液的粒徑(d4,3)均有所增大,這可能是由于液滴之間適度絮凝或聚結的結果。由于第一輪FT處理后EuA出現了嚴重的脫油現象,因此測量結果不能真實反映乳液的粒徑(數據未顯示)。

圖表1B:不同均質工藝制備的乳劑在不同FT處理周期前后的平均直徑(d4,3)
乳劑的微觀結構圖像如圖表1C所示。可以觀察到,FT后的EuA的粒徑要比初始EuA小得多。由于三次FT處理后EuA的結構被完全破壞,在顯微鏡下可以觀察到大量的聚集體和少量的油滴。

圖表1C:不同均質工藝制備的乳劑在不同FT處理周期前后的光學顯微照片
隨著FT處理循環次數的增加,觀察到EuB和EuC中的液滴變大。隨著EuB和EuC表面蛋白質層的部分破壞,越來越多的油滴聚集在一起形成更大的油滴。相反,在重復FT處理后,EuD的粒徑沒有明顯增加,而且液滴似乎在一起絮凝。適度的絮凝可能有利于抵抗FT過程中環境因素的劇烈變化,有利于保持乳狀液的穩定性。以上結果說明減小初始乳劑的粒徑可以有效提高乳劑的FT穩定性。
實驗結論:
結果表明,減小初始乳狀液的粒徑可以通過延緩油滴之間的聚并來提高乳狀液的凍融穩定性。顆粒尺寸更小、表面電荷更低的蛋白質的形成可以加速它們在油水界面的聚集,促進界面的緊密堆積。蛋白質表面疏水性的降低提高了其在水分散體中的溶解度,有利于提高蛋白質的界面濃度。 因此,當蛋白質吸附到油水界面時,通過增強界面層的剛度和厚度,有利于增強乳狀液的界面穩定性,有效地抵抗了FT過程中冰晶對乳狀液液滴的刺穿。
案例二
高壓微射流均質對姜黃素納米乳液穩定性的影響[2]
目的:通過高壓微射流均質建立穩定的姜黃素乳液體系。以粒徑為考察指標,采用LUMiSizer穩定性分析儀研究不同均質壓力、均質次數、乳化劑濃度對姜黃素乳液穩定性的影響。
試驗過程:
制備姜黃素納米乳液:稱取0.04g姜黃素粉末溶于80℃10mLMCT(中鏈甘油三酸酯)中形成油相;稱取一定量的乳化劑(吐溫80、卵磷脂、乳清蛋白和阿拉伯膠)分別溶解于90mL磷酸鹽緩沖溶液(10mmol/L,pH7)中,形成水相;將油相緩慢滴加到水相中分散后得到粗乳液;粗乳液通過均質(不同均質條件)得到精細乳液 。
評價方法:采用激光粒度儀測定姜黃素乳液的平均粒徑;用LUMiSizer穩定性分析儀對黃素納米乳液進行物理穩定性快速分析。通過界面追蹤Fronttracking確定合適的均質條件、乳化劑濃度。
(1)4種乳化劑對姜黃素乳液物化性能的影響
4種乳化劑在相同均質條件(均質壓力60MPa,3次)下,隨著乳化劑添加量的增大(1%,2%,3%,4%,5%),乳液粒徑逐漸減小,之后趨勢平緩(圖2A)。小分子類合成乳化劑(吐溫80)與蛋白質類(乳清蛋白)對粒徑的影響高于多糖類(阿拉伯膠)和磷脂類(卵磷脂)。乳化劑型對乳液粒徑的影響較大,乳化劑是影響乳液粒徑的主要因素。當吐溫80和乳清蛋白的添加量于2%左右時,乳液粒徑大小基本保持不變,維持在169nm與226nm左右,選此值作為后續試驗添加量,阿拉伯膠的質量分數在4%時乳液粒徑最大(650nm)。當卵磷脂的添加量到3%時,粒徑減小趨勢不太明顯,粒徑為415nm。選用4%與3%作為阿拉伯膠和卵磷脂后續研究的添加量。

圖表2A:不同乳化劑添加量對制備的姜黃素乳液平均粒徑的影響
(2)均質壓力和次數對姜黃素乳液粒徑、物化性能的影響
從圖表2A看,4種乳液的平均粒徑與均質壓力具有一定的相關性。隨著均質壓力的增大,剪切力與紊流作用力不斷增大,4種乳液的平均粒徑逐漸減小,之后趨于平緩。均質壓力增大,能耗隨之增大,導致溫度升高,破壞物質的結構,需綜合考慮選擇最適壓強。
將四種粗乳液的均質壓力從10MPa逐步增加到80MPa。其中,阿拉伯膠乳液粒徑從834nm降至600nm,壓力超過40MPa后粒徑基本不變,后續試驗選用40MPa壓力。卵磷脂乳液粒徑從362nm降至196nm且一直減小,可能與高溫高壓下卵磷脂不穩定及結構變化有關,選擇40MPa為合適壓力。乳清蛋白乳液粒徑降至225nm,壓力過高會引起蛋白變性,綜合考慮采用40MPa作為均質壓力。吐溫80乳液粒徑降至130nm,選用60MPa作為均質壓力。
固定四種乳液的添加量和均質壓力,進行不同次數的均質,檢測均質前后的粒徑變化。從圖2B可以看出,四種乳液的平均粒徑隨均質次數增加而減小,之后趨勢變小。具體情況如下:
阿拉伯膠乳液在均質壓力為40MPa、添加量為4%時,均質兩次后粒徑基本保持在570nm左右,最適均質次數為2。
卵磷脂在均質壓力為40MPa、添加量為3%時,隨著均質次數增加粒徑減小,均質6次后粒徑減小趨勢增大,可能與其結構變化有關,最終選均質6次做后續研究。
乳清蛋白在均質壓力40MPa、添加量為2%時,均質6次粒徑最小(196nm),最終選均質6次。
吐溫80在均質壓力60MPa、添加量2%時,均質超過6次后粒徑雖有減小但不明顯,綜合考慮能耗及時間,也選均質6次。
可以看出隨著均質次數的增加,乳液粒子之直徑(粒徑)分布均勻,對乳液的穩定性有一定的影響。

圖表2B:均質條件對乳液平均粒徑的影響
(3)均質條件對姜黃素乳液穩定性的影響
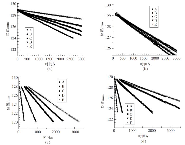
利用LUMiSizer穩定性分析儀,通過離心加速沉降、懸浮的方法使溶液分層。因樣品管溶液中粒子在不同時間會有所移動,進而造成對應位置的光透射強度發生變化,同時隨著時間的變化,可得到相應的空間和時間解析消光圖譜采用Fronttracking界面追蹤的分析方法分析曲線,能更直觀地描述乳液的穩定性。以下斜率圖中(正斜率代表沉降,負斜率代表懸浮),斜率絕對值越大越不穩定
對于乳清蛋白乳液,圖表1a顯示當乳清蛋白添加量為2%、均質次數為3次時,給出了不同均質壓力下的斜率值A-E(-8.511,-6.275,-4.435,-4.120,-3.920)。最終選定60MPa作為合適壓強值。
圖表3(b)則是在均質壓力為60MPa、添加量為2%時,不同均質次數下的斜率值A-E(-4.004,-1.763,-1.190,-1.007,-1.064),可知均質次數超過4次對其穩定性影響不明顯,故最終選用均質4次。

圖表3:均質條件對乳清蛋白乳液穩定性的影響
對于吐溫80乳液,圖表4(a)顯示當添加量為2%、均質3次時,隨著均質壓力的增大,乳液的穩定性變好,之后變化不大,斜率值分別為-28.38,-11.68,-5.917,-7.420,5.563,在均質壓力大于40MPa后對其穩定性影響逐漸減小。由于過高的壓力容易引起蛋白變性,建議選擇壓力40MPa做試驗。
圖表4(b)表明,吐溫80乳液添加量為2%、均質壓力40MPa時,隨著均質次數的增大,乳液穩定性變好,斜率值分別為-2.921,-1.884,-1.348,-1.189,-1.073。均質超過6次后基本穩定,6次為其合適的均質次數。

圖表4:均質條件對卵磷脂乳液穩定性的影響
對于卵磷脂乳液,圖表4(a)顯示在乳化劑添加量為4%、均質3次時,均質壓力與其穩定性呈負相關,斜率值分別為-4.162,-4.090,-4.195,-4.723,-5.069。在壓力超過60MPa后穩定性開始下降,可能是因為卵磷脂在高溫、高壓下不穩定,結構發生變化,進而影響其乳化效果。最終選擇適宜壓力為40MPa。
圖表4(b)表明在卵磷脂均質壓力為40MPa、添加量為4%時,乳液隨著均質次數的增加穩定性發生變化,斜率值為-5.528,-4.107,-3.718,-3.491,-3.276。最終選定均質6次。

圖表4:均質條件對卵磷脂乳液穩定性的影響
通過LUMiSizer穩定性分析儀,極為有效地表征乳劑中各項參數對于產品穩定性的影響。從多個角度對乳劑中的不同參數進行深入探測和細致分析,準確地揭示出這些參數是如何具體地作用于產品的穩定性,為進一步優化乳劑產品提供方向。
(4)乳化劑濃度對乳液穩定性的影響
圖(a)至(d)可看出4種乳化劑在各自選定的均質條件下,隨著乳化劑添加量的增大(0.5%,1%,2%,3%,4%),乳液的穩定性提高。

圖表5:乳化劑類型與濃度對乳液穩定性的影響
圖表5(a)顯示,不同濃度的乳清蛋白乳液分析斜率分別為-1.849,-1.419,-1.211,-0.9052,-0.5440,當乳清蛋白添加量為4%時,斜率線趨于平緩。由此可知,乳化劑添加量可選擇4%或者略大于4%。
圖表5(b)中,隨著吐溫80乳液濃度的增大,其穩定性呈先升高后下降的趨勢,斜率值依次為-1.254,-1.226,-1.441,-1.552,-1.424。其合適添加量為2%。因為吐溫80乳液粒徑較小,之前有研究表明粒徑太小容易發生凝聚、沉淀,這可能是影響其穩定性的原因。
圖表5(c)顯示,分析卵磷脂乳液所得斜率值為-30.79,-9.944,-5.305,-3.900,-2.906。當添加量超過4%時,其斜率曲線趨于平緩,可考慮選擇添加量為4%,或者略大于4%。
圖表5(d)可以看出,阿拉伯膠乳液的穩定性受濃度的影響較大,當添加量為4%時,其減小趨勢較大,斜率值分別為-39.14,-14.69,-3.321,-1.773,-1.369。若濃度過高容易造成乳液的黏性過強,則不適宜應用,可考慮選擇4%或略大于4%的添加量。
(5)結論:
4種乳化劑在相同處理條件下,吐溫80乳液的粒徑受均質條件、乳化劑濃度的影響最大,乳清蛋白次之,然后是卵磷脂、阿拉伯膠。結合均質條件,乳化劑濃度對乳液粒徑及穩定性的影響,乳清蛋白在均質壓力60MPa,均質4次,添加量為2%時得到相對穩定的乳液;吐溫80在均質壓力40MPa,均質6次,添加量為2%時得到相對穩定的乳液。卵磷脂可在均質壓力40MPa,均質為4次,添加量為4%或略大均可。阿拉伯膠在均質壓力20MPa,均質2次,添加量為4%或略大。 通過高壓微射流均質能夠有效的將相關樣品粒徑降至目標范圍,利用納米激光粒度儀完成樣品的粒度表征,并且配合LUMiSizer的STEP技術可以快速分析樣品的穩定性。
四、展望
隨著科技的不斷進步,新型乳化劑的研發將成為重要方向。科學家們將致力于開發更加高效、安全且具有特定功能的乳化劑,以滿足不同領域對乳劑性能的更高要求。例如,在醫藥領域,開發出具有靶向性的乳化劑,能夠使乳劑精準地將藥物輸送至病變部位,提高治療效果。
在制備工藝方面,智能化、自動化的生產技術將逐漸得到應用。通過精確控制制備過程中的各個參數,如溫度、攪拌速度、壓力等,可以實現乳劑的高質量、高穩定性生產。同時,納米技術的進一步發展也將為乳劑制備帶來新的機遇。
奧法美嘉在乳劑制備方面能提供從生產制備到質量檢測的整套解決方案。團隊成員以納米技術在藥物中的應用作為研究重點,分別對于脂質體、脂肪乳等復雜藥物劑型的技術和質量標準升級做出了應有的貢獻。現公司業務和合作伙伴已遍及醫藥、半導體、航空航天材料、3D打印、太陽能產業、新材料、化工、過濾等高科技行業,為中國產業的升級提供了強有力的技術支持。

圖表6:高壓微射流均質機PSI

圖表7:AccuSizer全自動計數粒度儀

圖表8 LUMiSizer穩定性分析
總之,未來的乳劑制備將朝著更加高效、精準、安全的方向發展,為各個領域帶來更多的創新和突破。
參考文獻
[1] Hao Lai, Fuchao Zhan, Yujie Wei, Abel W.S. Zongo, Sha Jiang, Haomin Sui, Bin Li, Jing Li,Influence of particle size and ionic strength on the freeze-thaw stability of emulsions stabilized by whey protein isolate,Food Science and Human Wellness
[2] 伍敏暉,王磊,何梅,高壓微射流均質對姜黃素納米乳液穩定性的影響.中國食品學報,2018,18(5)
相關產品
更多
相關文章
更多
技術文章
2025-09-30技術文章
2025-08-20技術文章
2025-08-14技術文章
2025-04-18
虛擬號將在 秒后失效
使用微信掃碼撥號