
諾澤流體科技(上海)有限公司
白金會員
已認證

諾澤流體科技(上海)有限公司
白金會員
已認證
一、介紹
本文隸屬于微射流均質機應用專題,全文共 11500字,閱讀大約需要 40 分鐘。
摘要
本研究通過微射流均質法制備了剝離型六方氮化硼納米片(e-hBN),并利用熔融擠出技術將其與聚丙烯(PP)復合。結果表明,e-hBN在PP基體中的均勻分散是關鍵,它能顯著提升復合材料的多項性能:在均聚PP(HP)中,e-hBN同時增強了材料的拉伸強度和韌性;對于抗沖共聚PP(IP),其機械性能改善有限,但所有復合材料的抗氧化穩定性均因e-hBN的屏障作用而大幅提高,熱老化后的羰基指數明顯降低。此外,e-hBN的加入還提高了復合材料的熱導率。綜上所述,e-hBN是一種能有效賦予PP復合材料更優綜合性能的多功能納米填料。
關鍵詞
剝離六方氮化硼;微射流均質機;聚丙烯復合材料;導熱性;機械性能;氧化穩定性

二、整體框架

術語解釋

三、引言
本研究旨在通過引入e-hBN來解決聚丙烯材料固有的熱導率低、抗氧化性差和機械強度不足等局限性。與傳統填料相比,h-BN雖具備高導熱和絕緣的獨特組合,但其在聚合物基體中的分散性差是關鍵挑戰。本研究的創新之處在于系統性地探究了剝離工藝對h-BN在PP基體中分散效果的影響,并重點評估這種e-hBN對復合材料熱、機械及長期抗氧化性能的增強作用,以此填補該領域的研究空白。
四、基本流程

五、結果與討論
h-BN 增強 PP 復合材料的表征
該研究采用系統方法制備了h-BN增強聚丙烯復合材料。首先通過微射流均質化技術對h-BN進行液相剝離,SEM和XRD表征共同證實成功獲得了層間距增大、厚度減小的剝離型h-BN納米片。為實現填料在基體中的理想分散,研究采用共振聲學混合器將e-hBN納米片預先包覆于PP顆粒表面,再通過熔融擠出完成復合。該制備策略通過優化分散工藝,為獲得性能優異的復合材料奠定了基礎。

制備 h-BN 增強 PP 復合材料的程序示意圖
確保 h-BN 納米片的有效剝離和均勻分散,采用了利用微射流均質機的液相剝離工藝。該方法依靠施加強烈的剪切力和高壓,有效地克服了本體 h-BN 層之間的強大范德華力。h-BN 懸浮液在高速下被迫穿過狹窄的間隙,產生將厚層分離成薄納米片所需的極端湍流和剪切應力。所得剝落的納米片顯示出穩定的白色懸浮液,直觀地證實了成功的剝離。

圖2(a)使用微射流均質機對 h-BN 進行液相剝離。剝離的 h-BN 分散體的照片。(b)塊狀和剝離的 h-BN 的 SEM 圖像。(c)塊狀和剝離的 h-BN 的 XRD 圖譜
使用掃描電子顯微鏡(SEM)進一步驗證了剝落過程,如圖 2b 所示。圖像顯示,塊狀 h-BN 由厚厚的堆疊層組成,而剝離的 h-BN 納米片則表現出顯著減小的厚度和增加的橫向尺寸。這種形態轉變增強了 h-BN 納米片的表面積,促進了與 PP 基體更好的界面相互作用,并有助于改善復合材料的性能。X 射線衍射(XRD)分析提供了成功去角質的額外證據(圖 2c)。塊狀 h-BN 的 XRD 圖譜在 26.8、41.7、43.9、50.2 和 55.2°的 2θ值處顯示出特征衍射峰,分別對應于六方相 h-BN 的(002)、(100)、(101)、(102)和(004)平面, 觀察到(002)峰強度的顯著降低,并伴有峰展寬。這些變化表明沿 C 軸的層堆疊減弱,證實了 h-BN 層的分離。 此外,(002)峰向 26.3°偏移,間距(d002)為 0.35 nm,表明層間分離增加,驗證了剝離的 h-BN 納米片的成功生產。

圖 3.e-hBN 增強 PP 復合材料的制備。(a) 使用共振聲學混合器用 e-hBN 納米片涂覆 PP 顆粒,(b) 將 e-hBN 涂層的 PP 顆粒熔融擠出到復合片材中。
用剝離的 h-BN(e-hBN)納米片增強的聚丙烯(PP)復合材料的制備涉及兩個關鍵步驟,如圖 3 所示。在第一步中,使用共振聲學混合器將 e-hBN 納米片均勻地涂覆在 PP 顆粒上(圖 3a)。聲學混合器產生的高頻聲波產生快速振動,使 e-hBN 納米片能夠均勻分散并有效粘附到 PP 顆粒表面上。此步驟至關重要,因為它可以確保納米片在后續加工過程中均勻分布在聚合物基體內,從而增強復合材料的整體均勻性和性能。在第二步中,對 h-BN 涂層的 PP 顆粒進行熔融擠出工藝(圖 3b)。在此過程中,混合物被加熱以熔化 PP,促進納米片與聚合物基質的徹底混合。這種方法不僅確保了 e-hBN 的均勻摻入,而且還促進了填料和聚合物之間的牢固界面結合。

表 1.PP 和 h-BN 增強 PP 復合材料的命名法
h-BN 增強 PP 復合材料的力學性能
與抗沖共聚物 PP (IP) 相比,純 HP 表現出優異的拉伸強度(30.42 ± 1.5 MPa),這歸功于其更高的結晶度。然而,HP 表現出較低的伸長率和韌性,突出了其剛度,但延展性降低。堆疊 h-BN (hBN-HP) 的添加導致拉伸強度和韌性降低,這主要是由于 h-BN 顆粒的團聚,h-BN 顆粒充當應力集中器并阻礙應力傳遞。

表 2.PP 和 h-BN 增強 PP 試樣的拉伸數據
相反,剝落的 h-BN(e-hBN-HP)的摻入顯著提高了抗拉強度(32.88 ± 0.45 MPa,提高了 14.3%;p = 0.03)和韌性(1 MPa±11.73,提高了 11.6%;p = 0.07)。這些增強歸因于 e-hBN 納米片在聚合物基質中的均勻分散,從而實現高效的應力傳遞,正如 XRM 成像所證實的那樣(圖 S1)

相比之下,由于基體中的橡膠狀乙烯結構域,與 HP 相比,IP 樣品表現出更高的伸長率和韌性。然而,堆疊 h-BN(hBN-IP)的摻入顯著降低了伸長率和韌性,這可能是由于填料分散性差和填料-基體界面相互作用弱造成的。剝落的 h-BN(e-hBN-IP)的摻入也導致 IP 樣品的伸長率和韌性降低,盡管與堆疊的 h-BN 相比,這種降低不太明顯。這些觀察結果表明,e-hBN-IP 復合材料力學性能的有限改善源于 IP 基體和 h-BN 納米片之間的界面相互作用欠佳,以及 IP 基體的固有異質性。這一趨勢與 Chan 等人報告的研究結果一致,他們觀察到添加 10%、15%和 20%h-BN 后機械性能的變化可以忽略不計。

圖 4.PP 和 h-BN 增強 PP 樣品的應力-應變曲線。
因此,通過加入剝離的 h-BN 納米片,特別是在均聚 PP 中,可以顯著提高 PP 復合材料的力學性能。觀察到的抗拉強度和韌性的增強歸因于剝落的 h-BN 實現的均勻分散和有效的應力傳遞。優化分散技術和增強填料-基體相互作用可以進一步提高這些復合材料的機械性能,特別是在具有更復雜結構的基質中,如沖擊共聚物 PP。將本研究開發的復合材料的力學性能與 h-BN 增強 PP 復合材料的文獻報道進行了比較( 表 3)。 e-hBN 增強 HP 復合材料 (e-hBN-HP) 所實現的拉伸強度和韌性具有競爭力,證明了剝離 h-BN 在提高復合材料性能方面的有效性。

表 3.HBN 增強聚丙烯復合材料性能的比較(已發表的報告)與所展示的工作
h-BN 增強聚丙烯復合材料的熱性能
采用熱重分析(TGA)和衍生熱重分析(DTGA)研究了 h-BN 增強聚丙烯(PP)復合材料的熱穩定性。圖 5a 顯示了 h-BN 和脫落的 h-BN(e-hBN)的 TGA 曲線,表明 h-BN 本身具有優異的熱穩定性,重量損失不到 1%。

e-hBN 樣品表現出較小的重量損失,這歸因于殘留的聚(4-乙烯基吡啶)(P4VP),在 e-hBN 制備過程中用作分散劑。然而,盡管 h-BN 具有較高的熱穩定性,但添加 h-BN 后 PP 的熱分解沒有明顯改善,如圖 5b,c 所示。純 HP、h-BN-HP 和 e-hBN-HP 樣品的分解溫度約為 450 °C,降解速率相似。在 h-BN-IP 樣品中觀察到類似的趨勢,因此圖 S2 提供了這些樣品的 TGA 和 DTGA 數據。這表明,h-BN 的添加不會顯著改變 PP 基體的熱分解行為,盡管 h-BN 的存在有助于在較高溫度下保持復合材料的結構完整性。

通過 DSC 測量來分析 PP 復合材料的結晶度和熔融特性。結晶度百分比的計算公式為: 其中 是 PP 樣品的熔融熱,是純結晶 PP 的熔融熱(207 J/g)。 純 HP 和 IP 的結晶度百分比分別為 35.3%和 31.5%,兩種樣品的熔峰均在 163 °C 時觀察到(圖 6a)。HP 和 IP 之間的結晶度差異與其機械性能相關,其中 HP 具有較高的結晶度,表現出更高的強度,而 IP 較低的結晶度有助于增強其延展性。盡管在 PP 復合材料中添加了 h-BN,但 PP 的熱性能沒有明顯改善,表明 h-BN 增強對聚合物基體的結晶度或熔融特性沒有顯著影響,如表 3 所示。

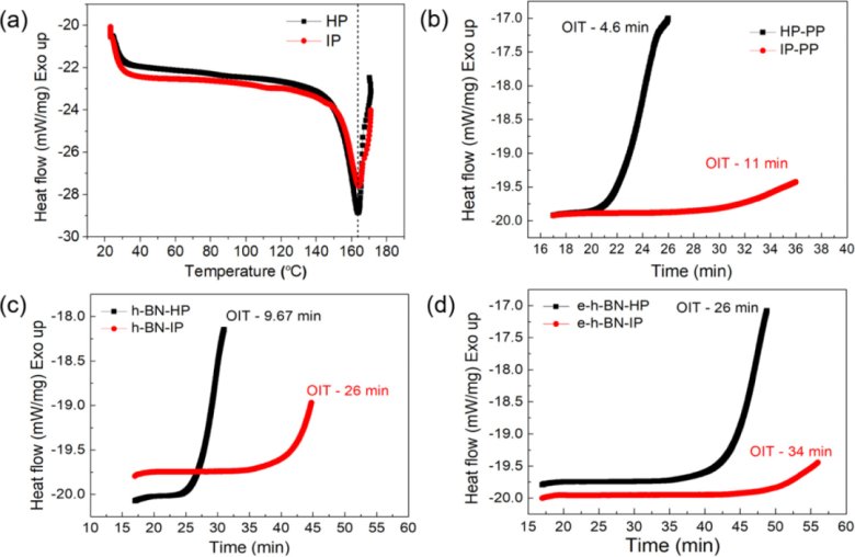
圖 6.(a)顯示 HP 和 IP PP 樣品熔峰的 DSC 曲線,以及(b)純 HP 和 IP 樣品,(c)hBN-HP 和 hBN-IP 復合樣品,(d)e-hBN-HP 和 e-hBN-IP 復合樣品在 180 °C 下的 OIT 測量。
測量氧誘導時間(OIT)以評估 PP 復合材料的氧化熱穩定性(圖 S3)。

OIT 值在 180 °C 時測定,因為 200 和 220 °C 的 OIT 值由于值小于 1 min 而不切實際。對于純 HP 和 IP,OIT 值分別為 4.6 分鐘和 11 分鐘(圖 6b)。添加 h-BN 使 h-BN-HP 的 OIT 增加到 9.67 分鐘,h-BN-IP 的 OIT 增加到 26 分鐘(圖 6c)。觀察到脫落的 h-BN 進一步增強,導致 e-hBN-HP 的 OIT 值為 13 分鐘,e-hBN-IP 的 OIT 值為 34 分鐘(圖 6d)。這些結果表明,添加六方氮化硼(h-BN),特別是其剝離形式(e-hBN)的添加,顯著提高了聚丙烯(PP)復合材料的氧化穩定性和熱性能。在 h-BN 和 e-hBN 增強的 PP 樣品中觀察到的氧化誘導時間(OIT)的增加表明,h-BN 是氧擴散的有效屏障,從而延緩了氧化的開始。e-hBN 在 PP 基質中的更好分散進一步增強了這種保護作用,與未剝落的樣品相比,e-hBN-HP 和 e-hBN-IP 樣品的 OIT 值更高就證明了這一點。這種氧化穩定性的提高部分歸因于 h-BN 的高導熱性,從而增強了復合材料的散熱性能。除了 OIT 測量外,導熱系數測量還可以為復合材料的熱性能提供重要見解。導熱 h-BN 的加入提高了 PP 基體的導熱性,有助于更好的散熱。 e-hBN 增強復合材料表現出更高的導熱性(圖 7),這可能是由于 e-hBN 在 PP 基體中的卓越分散性,增強了復合材料的散熱性能

圖 7.純 HP、hBN-HP 和 e-hBN-HP 的導熱系數。
通過熱老化研究評估復合材料的抗氧化性,其中 HP 和 IP 樣品均在 120 °C 下放置 250 和 500 h,以模擬長期熱暴露。為了監測氧化產物的形成,特別是羰基(-C═O)基團,采用傅里葉變換紅外(FTIR)光譜。
FTIR 光譜(圖 8a)顯示羰基在 1700–1780 區域的特征吸收峰,這表明聚合物氧化。 羰基指數(CI)是評估聚合物樣品氧化程度的有效指標,計算為羰基峰(1700-1780 )的強度與參比峰(2730 )的強度之比。正如預期的那樣,純 HP 和 IP 樣品的熱老化導致羰基峰強度顯著增加,羰基指數 (CI) 顯示出明顯的上升。對于 HP 樣品,CI 值在 250 h 后從 0.12(純)增加到 1.14,在老化 500 h 后增加到 1.17,表明大量氧化。同樣,對于 IP 樣品,CI 值在 250 h 后從 0.18(純)增加到 1.0,在 500 h 后從 1.25 增加到 1.25,表明隨著時間的推移發生了相當大的氧化。然而,在 PP 基質中添加 h-BN 納米片顯著提高了抗氧化性,與沒有 h-BN 的熱老化樣品相比,h-BN 和剝離的 h-BN(e-hBN)增強的 HP 和 IP 樣品的 CI 值較低。FTIR 結果進一步支持了 OIT 研究的結果,證實添加 h-BN 納米片,無論是非剝落還是剝離,都增強了 PP 復合材料的抗氧化性。與不含 h-BN 的熱老化 PP 樣品相比,h-BN 增強樣品的 CI 值較低,表明氧化程度有所降低。這表明 h-BN 納米片,尤其是剝落的納米片的摻入,提高了材料在熱老化條件下的抗氧化性。

圖 8.純正和老化 HP 樣品的 FTIR 光譜顯示(a)羰基峰在 1700–1780 區域,(b)–CH 拉伸參考峰在 2700–2750 范圍內。(c)熱老化 PP 和 h-BN 增強 PP 樣品的羰基指數(CI)值
六、結論
本研究成功證實,剝離的六方氮化硼(e-hBN) 作為一種高性能納米填料,能顯著提升聚丙烯(PP)復合材料的綜合性能。其核心結論如下:
制備與分散是關鍵:采用微射流均質法成功制備了e-hBN,并通過聲學混合與熔融擠出相結合的工藝,實現了e-hBN在PP基體中的均勻分散,這是性能提升的基礎。
機械性能顯著提升(尤其在HP中):在均聚PP(HP) 中,e-hBN的加入實現了強度與韌性的同步增強。而在抗沖共聚PP(IP)中,因基體本身結構復雜,機械性能改善有限。
熱氧化穩定性大幅提高:e-hBN的加入顯著延長了材料的氧化誘導時間(OIT),并有效降低了熱老化后的羰基指數(CI)。這表明e-hBN能作為物理屏障,有效阻礙氧氣擴散,延緩PP的氧化降解。
導熱性得到改善:e-hBN在PP基體中形成了更有效的導熱通路,使復合材料的熱導率得以提升。
熱分解行為未受顯著影響:填料的加入并未改變PP本身的熱分解溫度,表明其主要是通過物理作用提升穩定性,而非改變聚合物的化學降解機理。
微射流均質處理整體解決方案

相關產品
更多
相關文章
更多
技術文章
2025-10-29技術文章
2025-09-15技術文章
2025-08-25技術文章
2025-08-22
虛擬號將在 秒后失效
使用微信掃碼撥號