
元能科技(廈門)有限公司
金牌會員
已認證

元能科技(廈門)有限公司
金牌會員
已認證
背 景
電極粉末的壓實是指粉體在指定規格的治具中,上端壓頭以恒定速度下壓的過程。粉體在壓力作用下的填充過程十分復雜,電極粉末顆粒之間的接觸和排列方式發生改變,壓實過程中,粉體的密度和強度不斷增加。致密材料受力變形遵從質量不變和體積不變原理。而粉末變形較致密材料復雜,粉末體壓制變形僅服從質量不變,粉末體變形包括粉末顆粒的變形,還包括顆粒之間孔隙形態的改變,即顆粒發生位移。壓實過程中,存在以下微觀變形機理:顆粒排列調整:電極顆粒在應力作用下重新排列。初期排列不規則的顆粒在壓實過程中逐漸調整為更緊密的排列形式。顆粒之間的接觸點增加,填充了原本的孔隙空間。顆粒重新堆積:隨著外部應力的增加,原本分散的電極顆粒形成局部塊體,顆粒集合體填充粉體局部,形成更密實的結構。這種重新堆積過程可以減少顆粒間的間隙,提高電極的密實度。顆粒壓縮變形:在應力作用下,電極顆粒會發生壓縮變形。顆粒之間的接觸面積增加,使得顆粒更加緊密地接觸,相互擠壓,減少了孔隙的數量和大小。顆粒壓縮碎裂:在壓實過程中,二次電極顆粒會出現壓裂、粉碎的情況。壓碎現象會改變粉體整體的形貌設計和導電性等相關的物性。這些微觀機理相互作用,導致電極的密實度增加和強度提高。需要注意的是,不同電極粉末類型和顆粒組成會導致微觀機理的細微差異。粉末體變形時,各顆粒的變形可能不相同,不同顆粒變形程度可能存在較大差異,局部區域的實際應力遠高于粉末體受到的表觀應力 (表觀壓制壓力),甚至局部區域的高應力可能超過粉末顆粒的強度極限。下面通過實驗并引入經驗方程定量衡量粉體在壓實過程中的彈塑性力學行為。
1.實驗流程
采用元能科技公司研發的PRCD3100型號的壓實粉末電阻儀對四種鈷酸鋰粉末進行壓實密度及壓縮性能測試。四種鈷酸鋰的平均粒徑關系為LCO-4<LCO-2<LCO-3<LCO-1。測試的樣品和設備如圖1所示。測試參數:上壓頭依次對鈷酸鋰粉末施加10-200MPa的壓強,間隔20MPa,保壓10s。下圖為測試樣品、儀器和操作流程。


圖1.實驗設備及操作步驟
力學分析工具:
孔隙率-壓強關系常用Heckel方程表示,它是總結壓縮應力和密度變化關系的半經驗公式,其表達式如下:
In[1/(1-D)]=kp+A
式中,p為壓強;D為壓強為p時粉體柱的相對密度;k和A為常數,可以從In[1/(1-D)]與p關系的直線部分斜率和截距中獲得。A的物理意義可由A=In[1/(1-Dρ)]來理解,其中D是相對密度,ρ為在低壓下粒子發生重排后,顆粒形變之前的最大密度。此值可能與鋰離子電池極片粉體的真密度、形貌、粒徑分布等密切相關。k是衡量粉體可塑性大小的參數。k值越大,即相同的壓力變化所引起的密度變化越大,粉體的可塑性越大。實驗結果表明,當k為常數時In[1/(1-D)]與p為直線關系,表明粉體相對密度變化是由塑性變形引起的;如果k是變量則In[1/(1-D)]與p為曲線關系,表明相對密度變化是由重新排列、破碎等引起的。
2. 實驗分析
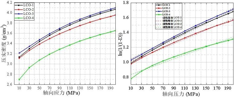
圖2繪制了四個LCO試樣的應力-壓實密度關系曲線和Heckel擬合直線,其中LCO-1和LCO-3試樣具有較大的k值,表明在這些粉體的平均粒徑和粒徑分布下,LCO-1和LCO-3在相同壓力下顆粒發生位移和重排,填充孔隙的效果較差,而顆粒發生彈塑性變形大。LCO-4的k最小,LCO-4鈷酸鋰粒徑最小,由此可以認為較小的顆粒發生位移,填充得更加密實,顆粒之間相互接觸點更多。因此,增加相同壓力下密度變化小,顆粒相互作用下發生彈性應變占比多,而塑性變形小。圖3顯示了四種鈷酸鋰粉末在不同壓強下的形變壓強曲線。經過簡單換算可得粉體承受的壓力和位移曲線,曲線下方所圍成的面積為材料的發生應變所需要的能量。

圖2.LCO試樣的應力-壓實密度關系曲線和Heckel擬合直線
圖3中網格區域圍成的面積代表粉體壓實過程中,粉體發生塑性變形所需要的能量,通過形變曲線的最高點的垂線與橫軸圍成的面積是壓頭對粉體做的總功,總功與塑性形變消耗能量的差值為彈性形變消耗的能量。下表展示出四種鈷酸鋰粉末在該工況下的彈性形變消耗能量、塑性形變消耗能量和它們各自的占比。顆粒較小的粉末發生較為明顯的回彈現象,同時塑性變形消耗能量占比較小。

圖3.不同壓強下的形變曲線

3. 結論
相同工況下,平均粒徑較小的粉末發生較為明顯的回彈現象,同時塑性變形消耗能量占比較小。通常粉末壓實變形過程中塑性變形占比在90%左右。
相同工況下,通過Heckel方程描述出,平均粒徑較小的顆粒擁有較小的K指,塑性形變較小。
參考文獻
[1]楊紹斌,梁正.鋰離子電池制造工藝原理與應用[J].[2023-07-08].
[2] Kai W, Jw A, Yx A, et al. Recent advances and historical developments of high voltage lithium cobalt oxide materials for rechargeable Li-ion batteries[J]. Journal of Power Sources, 460.
[3] Park M, Zhang X, Chung M, et al. A review of conduction phenomena in Li-ion batteries[J]. Journal of Power Sources, 2010, 195(24):7904-7929.
相關產品
更多
相關文章
更多
技術文章
2025-10-29技術文章
2025-10-21技術文章
2025-10-15技術文章
2025-09-17
虛擬號將在 秒后失效
使用微信掃碼撥號