
元能科技(廈門)有限公司
 金牌會員
金牌會員 已認證
已認證

元能科技(廈門)有限公司
 金牌會員
金牌會員 已認證
已認證
前 言
隨鋰電行業的發展,硅基負極材料因其高理論比容量而成為鋰離子電池領域的研究熱點。硅基負極漿料通常使用去離子水作為溶劑,采用表面改性和元素摻雜等技術來提升材料性能,但這些技術可能引入不穩定因素,如表面堿性和包覆不完整,導致納米硅暴露并與氫氧根離子反應,使硅基材料容易在鋰電池生產過程勻漿工序出現產氣等問題,導致硅基材料的應用和生產出現異常,從而影響電池的性能和安全性。
然而,大部分研究者可能受限于測試設備的精度等問題,對硅基漿料的產氣以及去離子水是否影響硅基漿料的產氣研究較少。
元能科技的原位產氣體積監控儀(GVM2200)可對硅基漿料的產氣行為進行實時、定量監控,高精度傳感器可有效檢測微小的氣體體積變化(體積測量分辨率1μL,體積測量精度±10μL),可輔助研發人員監測產氣情況并量化產氣值,完成硅材料特性評估和硅材料改性特性評估,為硅材料應用技術開發提供有效支撐。
一. 測試信息
1. 測試設備:
原位產氣體積監控儀,型號GVM2200(IEST元能科技),可調控溫度20℃~85℃。設備外觀如圖1所示。

圖1.原位產氣體積監控儀示意圖
2. 測試方案:
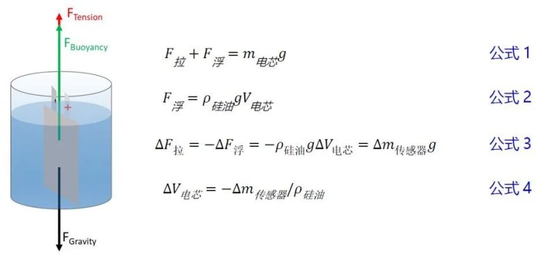
原位產氣體積監控儀主要基于牛頓定理和阿基米德浮力定律,通過高精度力學測量儀實時測得樣品的體積變化量,測試原理如下所示。

本次實驗采用鋁塑膜分別封裝相同質量的去離子水、硅基漿料并增加配重(如圖2),放置在原位產氣體積監控儀的2個通道上測試去離子水、硅基漿料在不同溫度下的產氣體積變化量。

圖2.樣品制作流程
為了驗證去離子水是否對硅基漿料的產氣有所影響,按如下表1配比配制漿料以及去離子水,并分別監測其在不同溫度下產氣情況。
表1.漿料配比

二. 測試過程及結果討論

圖3.不同溫度去離子水的體積變化

圖4.不同溫度硅基漿料的體積變化
表2.不同溫度去離子水&硅基漿料的體積變化量

本次實驗分別將去離子水和硅基漿料從25℃常溫環境中依次放入不同溫度的腔室內進行測試,從圖3和表2中可看出,去離子水在35℃時,其體積相比25℃時增加了0.058ml;在45℃時,相比25℃時增加了0.117ml,說明溫度升高后,去離子水的體積會逐漸變大,這主要是由于物體在溫度升高時,分子或原子獲得更多熱能后運動加劇,導致它們之間的平衡距離增加所帶來的熱膨脹效應。這種體積增加是一個連續的過程,直到去離子水達到新的熱平衡狀態。從圖4和表2中可看出,在35℃時,去離子水在48h內的產氣體積占硅基漿料產氣的2.1%;在45℃時,去離子水在48h內的產氣體積占硅基漿料產氣的2.8%,硅基漿料隨測試溫度升高,漿料產氣量增加,且遠遠超出去離子水的體積變化量,這可能與以下因素有關:
1. 表面改性或元素摻雜:這些改善工藝可能會引入不穩定因素,如表面堿性和包覆不完整,導致納米硅暴露并在制漿過程中與氫氧根離子反應產氣。
2. 預鎂或預鋰化處理:針對硅基負極材料首次放電效率低、電導率差、循環性能差等問題,人們進行了大量的預鋰化技術研究。通過預先加入少量的鋰源,來補充副反應和固體電解質相界面(SEI)膜形成過程中消耗的鋰,同時再結合表面改性等方案進一步改善。一方面,預鋰化劑對水敏感,易反應產生氣體;另一方面,研究表明,元素硅也易水解,產生副產物可燃氫氣:
Si+2H2O→SiO2+2H2↑
三. 總結
本文采用原位產氣體積監控儀(GVM2200)表征了去離子水以及硅基漿料在不同溫度下的產氣體積變化。隨溫度的升高,去離子水的體積在新的溫度環境下達到熱平衡后,幾乎不發生變化,而硅基漿料隨擱置時間進行,產氣體積逐漸增加,原位產氣體積監控儀(GVM2200)可精準測量出該過程的體積變化量,可實現產氣量的連續化自動測試,為材料研發和漿料產氣機理研究提供有力的技術支持。
相關產品
更多 
						
相關文章
更多 
						
技術文章
2025-10-29技術文章
2025-10-21技術文章
2025-10-15技術文章
2025-09-17 
				虛擬號將在 秒后失效
使用微信掃碼撥號