
元能科技(廈門)有限公司
金牌會員
已認證

元能科技(廈門)有限公司
金牌會員
已認證
鋰電池的主要封裝形式有三種,分別是軟包、方形和圓柱。軟包電芯采用鋁塑膜作為封裝材料,具有設計靈活性和多樣的型號,外形可根據客戶需求進行定制。軟包電芯具有較小的內阻和高能量密度,在失效時通常會產生脹氣并裂開。然而,軟包電芯存在一致性差的問題,并且容易發生漏液。方形電芯通常采用鋁合金、不銹鋼等材料作為殼體,具有較高的結構強度和良好的承受機械載荷能力。方形電芯的成組結構簡單,系統能量密度相對較高。然而,不銹鋼材質會導致電芯重量偏重,從而影響能量密度。此外,方形電芯的制作工藝較為復雜,良品率和一致性不如圓柱形鋰電芯。圓柱電芯具有悠久的歷史和較高的市場普及率,采用了相當成熟的卷繞工藝,具有較高的自動化程度、穩定的品質和相對較低的成本。
目前,對于評測電芯膨脹性能,方形和軟包電芯已經可以通過相應的方法來表征其膨脹行為。然而,由于圓柱電芯本身結構的特殊性,尚未明確確定其膨脹表征方法。因此,本文旨在通過數學理論計算圓柱電芯的膨脹特征,并提供一種描述圓柱電芯膨脹力的表征方法。
1.測試信息
1. 實驗設備:
原位膨脹分析儀,型號SWE2110(IEST元能科技),如下圖所示:

圖1.原位膨脹分析系統示意圖
2.結果分析
2.1 圓柱電芯膨脹分析
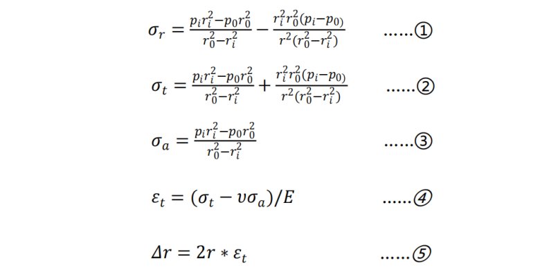
對圓柱殼體進行應力分析,如下圖2所示:在內壓pi的作用下,每個單元體會受到三個應力,σa是沿著圓柱高度的軸向應力,來自圓柱兩頭端面的受力,會引起圓柱高度的變化。σr是沿著垂直于圓柱表面的徑向應力,沿著直徑方向向外,有著引起殼體表面出現向外變形的趨勢。σt是沿著圓柱周向的環向應力,會引起殼體周長的變化。所以σr和σt都是引起殼體膨脹的原因。

圖2.圓柱電芯殼體應力分解
依照厚壁圓筒切應力理論推導三應力表述如下①②③。以3665電芯為例:內徑ri為17.7mm,外徑r0為18.0mm,在常壓下P0為0.1MPa,假設化成后內壓Pi為1.0MPa,計算可得σr為-0.1MPa, σt為52.6MPa,σ 為26.2MPa。即電芯膨脹主要為軸向和周向方向應力所致。

忽略σr影響,進一步再結合鋼殼的應力應變規律(式④)及周長公式(式⑤)可得殼體直徑變化。以鋼材質彈性模量E為210GPa,泊松比υ為0.3,計算可得滿充態(假設此時內壓P1為1.2MPa)時徑向膨脹約9.4μm,若滿放后回到化成后狀態,即內壓為1.0MPa,此時徑向膨脹量為7.7μm,則電芯充放電過程中徑向膨脹厚度約為1.7μm。依此條件此方法計算不同型號電芯充放電形變量如下表1所示,可得圓柱電芯充放電過程中電芯徑向基本無膨脹。在實際中化成后內壓可能達不到1.0MPa,也有些工藝是先化成后封口,也說明實際中形變量會比表1計算值更小。

表1.不同型號電芯充放電徑向計算
具有柔性鋁塑膜軟包電池厚度變化特別明顯,容易實現測量。但是由于硬殼體的結構剛性,圓柱形電池表現出小得多的直徑膨脹(約0.1%),因此很難觀察到可逆和不可逆的電池直徑變化。但是,由于固體電解質界面(SEI)層和Li電鍍等不可逆的層厚度增長,會導致體積變化,并且由于副反應而產生的氣體,也會導致殼體內部的壓力增加,殼體內部的電芯在充放電過程中肯定會發生膨脹和收縮。為了了解電池內部發生哪些潛在的機械過程,需要合適的測量方法來記錄和分析諸如電極厚度和電芯部件的體積變化之類的參數。評估電池的結構特征通常會使用X射線、計算機斷層掃描、中子和超聲成像等方法來獲取應變、應力分布和結構強度等綜合信息。雖然這些技術功能強大,但由于需要特殊的設備、成本較高,而且這些高能量源在電池操作中不可避免地會造成干擾,所以這些方法通常被用作離線診斷技術。
2.2 圓柱卷芯膨脹力表征
鑒于圓柱電芯徑向基本無膨脹,因此無法直接從電芯外面進行監測。表1中的膨脹變化量與元能科技的原位膨脹分析系統(SWE2100)恒間隙模式下的控制波動±1μm相當,因此可用SWE2100設備能很好的模擬圓柱電芯外殼對卷芯的束縛,從而實現對圓柱卷芯膨脹力的表征。測試前處理流程如下圖3所示:在手套箱或者干燥房內,拆除外封裝(鋼殼),然后延長極耳,最后用鋁塑膜重新封裝。

圖3.圓柱電芯前處理流程
測試過程中,直接把電芯放置于測試腔中(兩塊陶瓷板間),開啟測試軟件(MISS2.1),選擇恒間隙模式原位監測膨脹力隨SOC變化情況,如下圖4所示。

圖4.不同型號圓柱卷芯膨脹力
這種方法監測的主要就是圓柱形電芯在充放電過程中的變形過程。如圖5所示,圓柱形電池與軟包電池的柔性鋁塑膜殼不同,它采用剛性金屬殼,這會阻礙內部膨脹產生的應力釋放。被測試電池中金屬外殼與內部膠卷之間的非均勻接觸會導致微小的松散接觸,從而導致應力分布不均勻。在循環的早期階段(即新鮮電池),體積膨脹機制如圖5a所示。電池的表面最初是相對圓形的,電池充滿電時內部的應力分布會轉移到金屬殼體上,因此產生了不均勻的膨脹分布。由于電芯卷的結構,徑向突出的膨脹會導致金屬殼體上出現收縮凹陷。隨著循環的進行,不可逆膨脹的增加使得這種峰-谷結構被永久固定累積,使得殼體與內部更加緊密接觸,如圖5b所示。

圖5.新鮮的(a)和老化的(b)圓柱形電池的體積變化的機制示意圖
3.小結
本文采用原位膨脹分析系統(SWE2100)恒間隙模式模似外殼對圓柱卷芯束縛,從而實現原位表征圓柱卷芯膨脹力,助力圓柱電芯的優化和開發。同時也可探討利用圓柱結構優勢為硅負極等高膨脹材料提供一種膨脹優化策略。
4.參考文獻
Wenxuan Jiang, Haoran Li, Sicong Wang, Sa Wang and Wei Wang,Dynamic Volumography of Cylindrical Li-Ion Battery Cells by Watching Its Breath During Cycling
相關產品
更多
相關文章
更多
技術文章
2025-10-29技術文章
2025-10-21技術文章
2025-10-15技術文章
2025-09-17
虛擬號將在 秒后失效
使用微信掃碼撥號